A vapour compression refrigeration system is an improved type of air refrigeration system in which a suitable working substance, termed as refrigerant, is used. It condenses and evaporates at temperatures and pressures close to the atmospheric conditions. The refrigerants, usually, used for this purpose are ammonia (NH3), carbon dioxide (CO2) and sulphur dioxide (SO2).
The refrigerant used, does. not leave the system, but is circulated throughout the system alternately condensing and evaporating. In evaporating, the refrigerant absorbs its latent heat from the brine (salt water) which is used for circulating it around the cold chamber. While condensing, it gives out its latent heat to the circulating water of the cooler. The vapour compression refrigeration system is, therefore a latent heat pump, as it pumps its latent heat from the brine and delivers it to the cooler.
The vapour compression refrigeration system is now-a-days used for all purpose refrigeration. It is generally used for all industrial purposes from a small domestic refrigerator to a big air conditioning plant.
Following are the advantages and disadvantages of the vapour compression refrigeration system over air refrigeration system:
Advantages
- It has smaller size for the given capacity of
- It has less running
- It can be employed over a large range of
- The coefficient of performance is quite
Disadvantages
- The initial cost is
- The prevention of leakage of the refrigerant is the major problem in vapour compression
Mechanism of a Simple Vapour Compression Refrigeration System

A simple vapour compression refrigeration system consists of the following five essential parts:
- Compressor: The low pressure and temperature vapour refrigerant from evaporator is drawn into the compressor through the inlet or suction valve A, where it is compressed to a high pressure and This high pressure and temperature vapour refrigerant is discharged into the condenser through the delivery valve B.
- Condenser: The condenser or cooler consists of coils of pipe in which the high pressure and temperature vapour refrigerant is cooled and the refrigerant, while, passing through the condenser, gives up its latent heat to the surrounding condensing medium which is normally air or water.
- Receiver: The condensed liquid refrigerant from the condenser is stored in a vessel known as receiver from where it is supplied to the evaporator through the expansion valve or refrigerant control
- Expansion valve: It is also called throttle valve or refrigerant control The function of the expansion valve is to allow the liquid refrigerant under high pressure and temperature to pass at a controlled rate after reducing its pressure and temperature. Some of the liquid refrigerant evaporates as it passes through the expansion valve, but the greater portion is vaporized in the evaporator at the low pressure and temperature.
- Evaporator: An evaporator consists of coils of pipe in which the liquid-vapour refrigerant at low pressure and temperature is evaporated and changed into vapour refrigerant at low pressure and In evaporating, the liquid vapour refrigerant absorbs its latent heat of vaporization from the medium (air, water or brine) which is to be cooled.
In any compression, refrigeration system, there are two different pressure conditions. One is called the high pressure side and other is known as low pressure side. The high pressure side includes the discharge line ( i.e. piping from delivery valve B to the condenser), condenser, receiver and expansion valve. The low pressure side includes the evaporator, piping from the expansion valve to the evaporator and the suction line (i.e. piping from the evaporator to the suction valve A).
Pressure-Enthalpy (p-h) Chart

- The most convenient chart for studying the behaviour of a refrigerant is the p-h chart, in which the vertical ordinates represent pressure and horizontal ordinates represent enthalpy (i.e. total heat).
- A typical chart is shown in which a few important lines of the complete chart are drawn. The saturated liquid line and the saturated vapour line merge into one another at the critical point. A saturated liquid is one which has a temperature equal to the saturation temperature corresponding to its pressure.
- The space to the left of the saturated liquid line will, therefore, be sub-cooled liquid The space between the liquid and the vapour lines is called wet vapour region and to the right of the saturated vapour line is a superheated vapour region.
Consider the chart below which is typical of the refrigerant R22, a common refrigerant in small refrigeration systems.

- A closer analysis of the chart shows that there are distinct regions separated by three “boundary lines”. The region on the left is sub cooled This is the refrigerant liquid at a temperature lower than the equivalent boiling point for the pressure noted.
- The region inside the “dome” is a liquid-vapor If the liquid is at the boiling point, but just hasn’t begun to boil, it is defined as saturated liquid. Adding any heat to this liquid will vaporize a portion of it. Adding more heat to the liquid-vapor mixture eventually evaporates all of the liquid. At some precise point (G), the vapor is fully saturated. Adding any more heat to the vapor will cause it to rise in temperature further; this is referred to as superheated vapor which are above the corresponding saturated vapor point
- Similarly, sub cooled liquid can be generally It just means that the liquid is cooler than the saturation line at that pressure.
Consider the refrigerant to be initially at point A. To reach this point after leaving the evaporator at G, the refrigerant is heated slightly and crosses the compressor suction valve to point A. The compressor elevates the refrigerant’s pressure to a point at which it can push the discharge valve open and flow into the condenser. The refrigerant vapor leaves the compressor at point B, de-superheats to point C, and then begins to condense. After the vapor is completely condensed at point D, it is sub cooled a bit further (E), at which time it is still at a much higher pressure than the evaporator.
Controlling the flow to the evaporator and throttling to the pressure of the evaporator is performed by the expansion device, a capillary tube or a throttling valve in small refrigeration systems. This pressure reduction step vaporizes a portion of the liquid which cools (called flash gas) the remaining liquid going to point F. The “average” mixture of vapor and liquid crossing the valve doesn’t change in energy content. It simply separates into liquid and vapor at the reduced temperature and pressure according to its precise thermodynamic properties. The liquid at point F is then ready to pick up heat in the evaporator and form vapor at point G where the cycle repeats itself.
Types of Vapour Compression Cycles
The vapour compression cycle essentially consists of compression, condensation, throttling and evaporation.
- Cycle with dry saturated vapour after compression,
- Cycle with wet vapour after compression,
- Cycle with superheated vapour after compression,
- Cycle with superheated vapour before compression, and
- Cycle with undercooling or subcooling of
- Theoretical Vapour Compression Cycle with Dry Saturated Vapour after Compression
A vapour compression cycle with dry saturated vapour after compression is shown on T-s and p-h diagrams in Fig. (a) and (b) respectively. At point 1, let T1, p1, and s1, be the temperature, pressure and entropy of the vapour refrigerant respectively. The four processes of the cycle are as follows:
- Compression process: The vapour refrigerant at low pressure p1, and temperature T1, is compressed isentropically to dry saturated vapour as shown by the vertical line 1-2 on T-s diagramandby the curve 1-2 on p-h diagram. The pressure and temperature rises from p1, to p2 and T1, to T2, respectively.

The work done during isentropic compression per kg of refrigerant is given by W = = h₂ – h1 Where h1= Enthaply of vapour refrigerant at temperature at T1 (at suction of the compressor)
h2= Enthaply of vapour refrigerant at temperature at T2 (at discharge of the compressor)
- Condensing process: The high pressure and temperature vapour refrigerant from the compressor is passed through the condenser where it is completely condensed at constant pressure p2 and temperature T2, as shown by the horizontal line 2-3 on T-s and p-h The vapour refrigerant is changed into liquid refrigerant. The refrigerant, while passing through the condenser. gives its latent heat to the surrounding condensing medium.
- Expansionprocess: The liquid refrigerant at pressure p3=p2, and temperature T3 = T2 is expanded by throttling process through the expansion valve to a low pressure p4 = p3, and temperature T4= T₁, as shown by the curve 3-4 on T-s diagram and by the vertical line 3-4 on ph diagram. Some of the liquid refrigerant evaporates as it passes through the expansion valve, but
the greater portion is vaporised in the evaporator. During the throttling process, no heat is absorbed or rejected by the liquid refrigerant.
- Vaparisingprocess: The liquid-vapour mixture of the refrigerant at pressure p4 =p1, and temperature T4, = T1, is evaporated and changed into vapour refrigerant at constant pressure
and temperature, as shown by the horizontal line 4-1 on T-s and p-h diagrams. During evaporation, the liquid-vapour refrigerant absorbs its latent heat of vaporisation from the medium (air, water or brine) which is to be cooled. This heat which is absorbed by the refrigerant is called refrigerating effect (RE) and it is briefly written as R. The process of vaporisation continues upto point 1 which is the starting point and thus the cycle is completed.
RE= h1-h4= h1-hf3
Where hf3= Sensible heat at temperature T3
C.O.P= Refrigearting effect / Workdone = (h1-h4)/ ((h2-h1)
Problems:


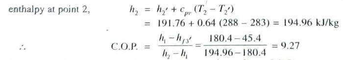
A vapour compression cycle with wet vapour after compression is shown on T-s and p-h diagrams. In this cycle, the enthalpy at point 2 is found out with the help of dryness fraction at this point. The dryness fraction at points 1 and 2 may be obtained by equating entropies at points 1 and 2.
The coefficient of performance (C.O.P.)= Refrigearting effect / Workdone = (h1-h4)/ ((h2-h1)
![]()



![]()
![]()
Theoretical C.O.P. = Refrigerating effect / Workdone = (h1-h4)/ ((h2-h1)= (h1-hf3)/ ((h2-h1)
=(221.83-164.77)/(237.83-221.83) =3.57

A vapour compression cycle with superheated vapour after compression is shown on T-s and
- diagrams In this cycle, the enthalpy at point 2 is found out with the help of degree of superheat. The degree of superheat may is found out by equating the entropies at points 1 and 2.
The coefficient of performance( C.O.P.) = Refrigerating effect / Workdone = (h1-h4)/ ((h2-h1)= (h1-hf3)/ ((h2-h1)
Problem:







A vapour compression cycle with superheated vapour before compression is shown on T-s and p-h diagrams respectively. In this cycle, the evaporation starts at point 4 and continues upto point 1′, when it is dry saturated. The vapour is now superheated before entering the compressor upto the point 1.
The coefficient of performance( C.O.P.) = Refrigerating effect / Workdone = (h1-h4)/ ((h2-h1)= (h1-hf3)/ ((h2-h1)
Problems:







The refrigerant, after condensation process 2’-3’, is cooled below the saturation temperature (T3’,) before expansion by throttling this process is called undercooling or subcooling of the refrigerant and is generally done along the liquid line. The effect of the undercooling is to increase the value of coefficient of performance under the same set of conditions.
The process of undercooling is done by circulating more quantity of cooling water through the condenser or by using water colder than the main circulating water. The refrigerating effect is increased by adopting both the superheating and undercooling process which is shown by dotted lines in Fig (a).
The coefficient of performance( C.O.P.) = Refrigerating effect / Workdone = (h1-h4)/ ((h2-h1)= (h1-hf3)/ ((h2-h1)
The value of hf3 = hf3’xDegree of under cooling
Problem:
A vapour compression refrigerator uses R-12 as refrigerant and the liquid evaporates in the evaporator at -150C. The temperature of this refrigerant at the delivery from the compressor is 150C when the vapour is condensed at 100C. Find the co-efficient of performance if (i) there is no undercooling and 9ii) the liquid is cooled by 50C before expansion by throttling.
Take specific heat at constant pressure for the superheated vapour as 0.64 kJ/kgK and that for liquid as 0.94 kJ/kgK. The other properties of refrigerant are as follows:







![]()


Vapour Absorption Refrigeration System
The vapour absorption refrigeration system is one of the oldest methods of producing refrigerating effect. This system uses heat energy instead of mechanical energy as in vapour compression system to change the conditions of the refrigerant required for the operation of the refrigeration cycle. It is used in both the domestic and large industrial refrigerating plants.
In the vapour absorption system, the compressor is replaced by an absorber, a pump, a generator, and a pressure reducing valve. The refrigerant used in a vapour absorption system is ammonia.
Simple Vapour Absorption System:

The simple vapour absorption system consists of an absorber, a pump a generator and a pressure reducing valve to replace the compressor of vapour compression system. The other components of the system are condenser, receiver, expansion valve and evaporator as in the vapour compression system.
- In this system, the low pressure ammonia vapour leaving the evaporator enters the absorber where it is absorbed by the cold water in the The water has the ability to absorb large quantities of ammonia vapour and the solution, thus formed, is known as aqua-ammonia absorption of ammonia vapour in water lowers the pressure in the absorber which draws more ammonia vapour from the evaporator and thus raises the temperature of solution. Some form of water cooling arrangement is employed in the absorber to remove the heat of solution. This is necessary in order to increase the absorption capacity of water because at higher temperature water absorbs less ammonia vapour.
- The strong solution formed in the absorber is pumped to the generator by the liquid The pump increases the pressure of the solution upto 10 bar. Then the strong solution of ammonia in the generator is heated by some external source.
- During the heating process, the ammonia vapour is driven off the solution at high pressure and leaves the hot weak solution which flows back to the absorber at low pressure after passing through pressure reducing
- The high pressure ammonia vapour from the generator is condensed in the condenser to a high pressure liquid
- This liquid ammonia is passed to the extension valve through the receiver and then to the
This completes the simple vapour absorption cycle.
Practical Vapour Absorption System:
The simple absorption system is not very economical in order to make the system more practical, it is fitted with an analyser, a rectifier and two heat exchangers. These accessories help to improve the performance and working of the plant.
- Analyser:
- When ammonia is vaporised in the generator, some water is also vaporised and will flow into the condenser along with the ammonia vapours in the simple If these unwanted water particles are not removed before entering into the condenser, they will enter ime the expansion valve where they freeze and choke the pipeline.
- In order to remove these unwanted particles flowing to the condenser, an analyser is used. The analyser may be built as an integral en of the generator or made as a separate piece of equipment. It consists of a series of trays mounted above the generator.
- The strong solution from the absorber and the aqua from the rectifier are introduced at the top of the analyser and flow downward over the trays and into the generator.
- Rectifier:
- In case the water vapours are not completely removed in the analyser, a closed type vapour cooler called rectifier also known as dehydrator) is It is generally water cooled may be of the double pipe, shell and coil or shell and cube type .
- Its function is to cool further the ammonia vapours leaving the analyser so that the remaining water vapours are condensed.
- Thus, only dry or anhydrous ammonia vapours flow to the
- The condensate from the rectifier to the top of the analyser by a drip return pipe
- Heat exchangers:
- The heat exchanger provided between the pump and the generator is used to cool the weak hot solution returning from the generator to the The heat removed from the weak solution raises the temperature of the strong solution leaving the pump and going to analyser and generator.
- This operation reduces the heat supplied to the generator and the amount of cooling required for the Thus the economy of the plant increases.
- The heat exchanger provided between the condenser and the evaporator is also called liquid sub-cooler. In this heat exchanger, the liquid refrigerant leaving the condenser is sub- cooled by the low temperature ammonia vapour from the evaporator .
- This sub-cooled liquid is passed to the expansion valve and then to the
- In this system, the net refrigerating effect is the heat absorbed by the refrigerant in the The total energy supplied to the system is the sum of work done by the pump and the heat supplied in the generator. Therefore, the
Coefficient of performance of the system =
Heat absorbed in evaporator C.O.P.
Work done by pump + Heat supplied in generator
Coefficient of Performance of an Ideal Vapour Absorption Refrigeration System
An ideal vapour absorption refrigeration system,
- theheat (QG) is given to the refrigerant in the generator,
- theheat (QC) is discharged to the atmosphere or cooling water from the condenser and absorber,
- theheat (QE) is absorbed by the refrigerant in the evaporator, and
- d) the heat (Qp) is added to the refrigerant due to
Neglecting the heat due to pump work (Qp), according to First Law of Thermodynamics, QC =QG+QE ……………….(i)
Let TG = Temperature at which heat (QG) is given to the generator,
Tc = Temperature at which heat (QC) is discharged to atmosphere or cooling water from the condenser and absorber, and
TE = Temperature at which heat (QE) is absorbed in the evaporator.
Since the vapour absorption system is considered as a perfectly reversible system, therefore the initial entropy of the system must be equal to the entropy of the system after the change in its condition.

Advantages of Vapour Absorption Refrigeration System over Vapour Compression Refrigeration System Following are the advantages of vapour absorption system over vapour compression systems
- In the vapour absorption system, the only moving part of the entire system is a pump which has a small Thus, the operation of this system is essentially quiet and is subjected to little wear. The vapour compression system of the same capacity has more wear, tear and noise due tomoving parts of the compressor.
- The vapour absorption system uses heat energy to change the condition of the refrigerant from the evaporator The vapour compression system uses mechanical energy to change the condition of the refrigerant from the
- The vapour absorption systems are usually designed use steam, either at high pressure or low The exhaust steam from furnaces and solar energy may also be used. Thus this system can be used where the electric power is difficult to obtain or is very expensive.
- The vapour absorption systems can operate at reduced evaporator pressure and temperature by increasing the steam pressure to the generator, with little decrease in capacity But the capacity of vapour compression system drops rapidly with lowered evaporator
- The load variations do not affect the performance of a vapour absorption system. The load variations are met by controlling the quantity of aqua circulated and the quantity of steam supplied to the The performance of a vapour compression system at partial loads is poor.
- In the vapour absorption system, the liquid refrigerant leaving the evaporator has no bad effect on the system except that of reducing the refrigerating In the vapour compression system, it is essential to superheat the vapour refrigerant leaving the evaporator so that no liquid may enter the compressor.
- The vapour absorption systems can be built in capacities well above 1000 tonnes of refrigeration cach, which is the largest size for single compressor
- The space requirements and automatic control requirements favour the absorption system more and more as the desired evaporator temperature
Problems-1
In an absorption type refrigerator, the heat is supplied to NH3 generator by condensing steam at 2 bar and 90% dry. The temperature in the refrigerator is to be maintained at -5°
- Find the maximum C.O.P. possible.
If the refrigeration load is 20 tonnes and actual C.O.P. is 70% of the maximum C.O.P., find the mass of steam required per hour. Take temperature of the atmosphere as 30° C.
Solution.
Given : p = 2 bar ; x = 90% = 0.9 ; T = -5° C = – 5 + 273 = 268 K : Q = 20 TR Actual C.O.P. = 70% of maximum C.O.P. ; Tc = 30° C = 30 + 273 = 303 K
Maximum C.O.P.
From steam tables, the saturation temperature of steam at a pressure of 2 bar is TG = 120.2° C
= 120.2 + 273 = 393.2 K

Mass of steam requires per hour
= 70% of maximum C.O.P. = 0.7 x 1.756 = 1.229
Actual heat supplied= Refrigeration load / Actual C.O.P.= (20×210)/1.229 =3417.4 kJ/min From steam tables, the latent heat of steam at 2 bar is hfg = 2201.6 kJ/kg .
Mass of steam required per hour= Actual heat supplied / hfg =3417.4 / 2201.6 = 1.552 kg/min
=1.552 x 60 = 93.12 kg/h
Problems-2

