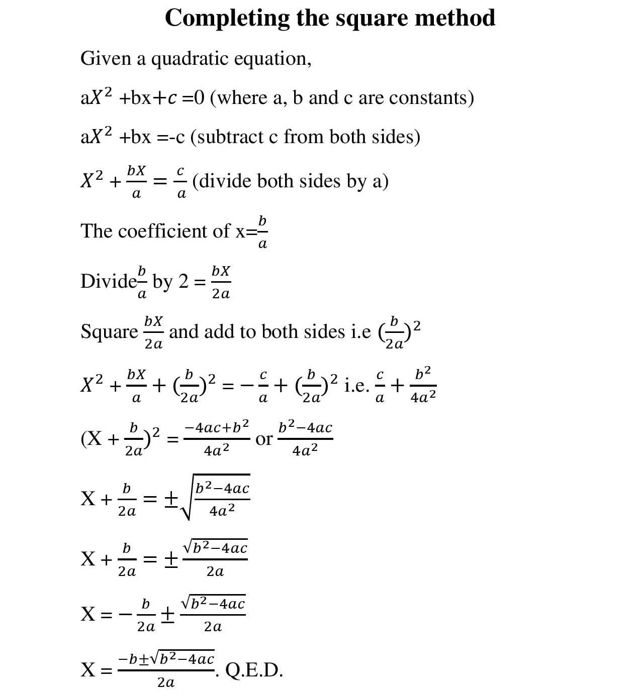
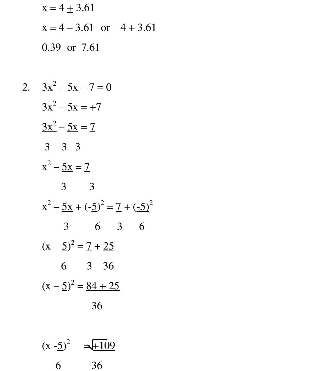
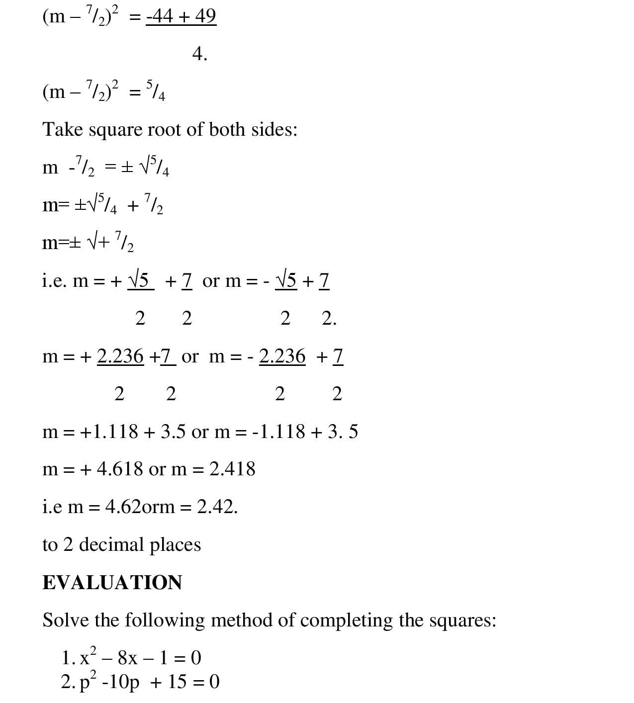
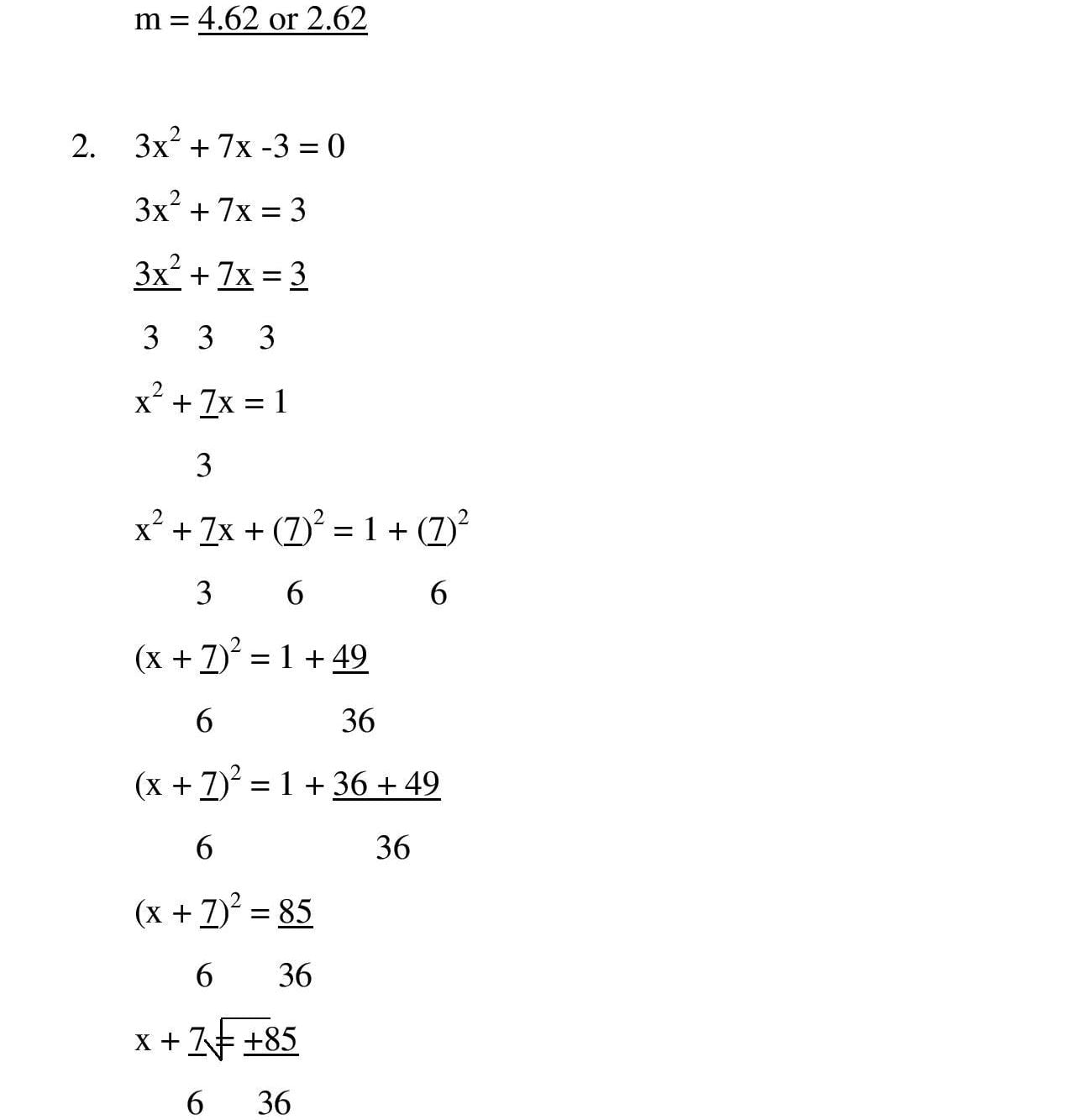
Completing the square methodMr. Kelvin HJuly 20, 2022SS 3 Literature in English Notes (1st, 2nd & 3rd Term), Mathematics Notes For All Classes Completing the square method See also Quadratic Equation by Factorization Method Factorization of Quadratic Expressions QUADRATIC EQUATION & SYMMETRIC PROPERTIES OF THE ROOT Completing the square Matrices and Determinants