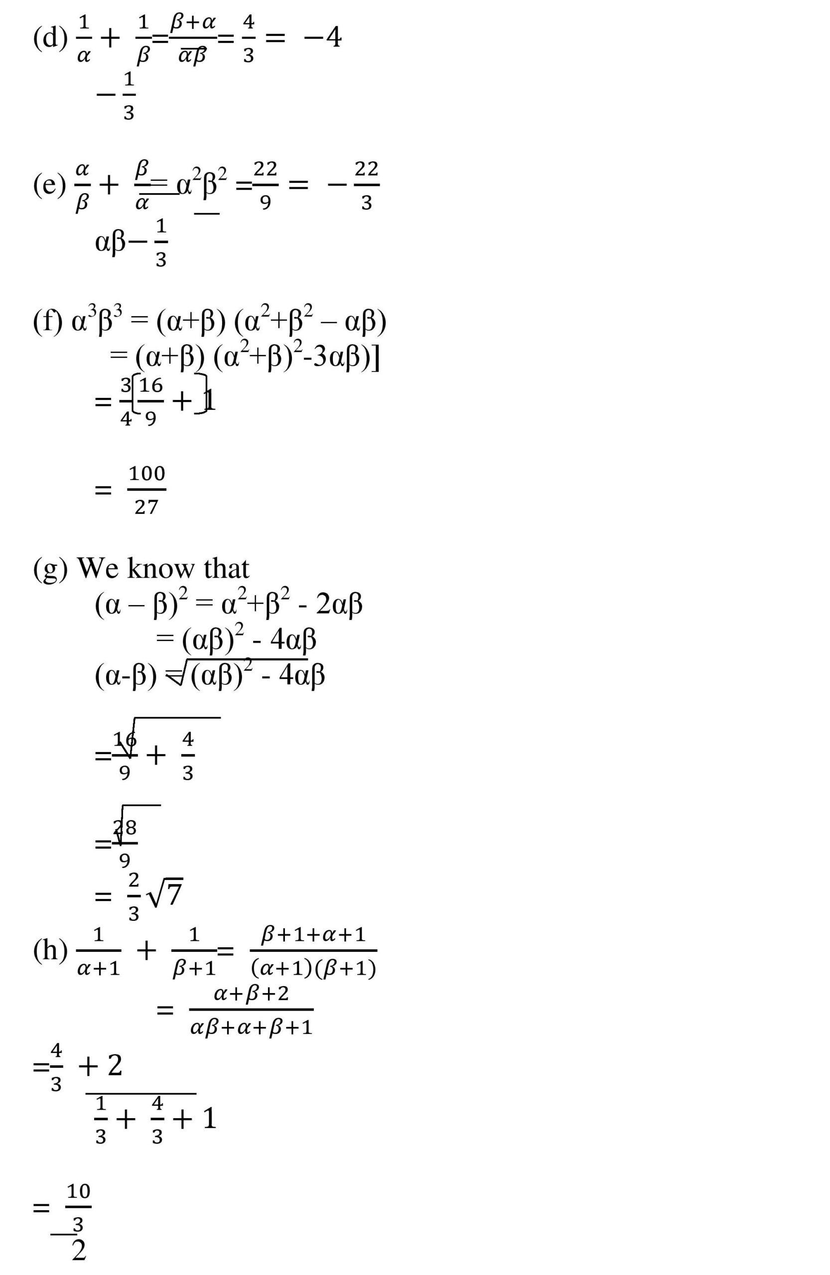
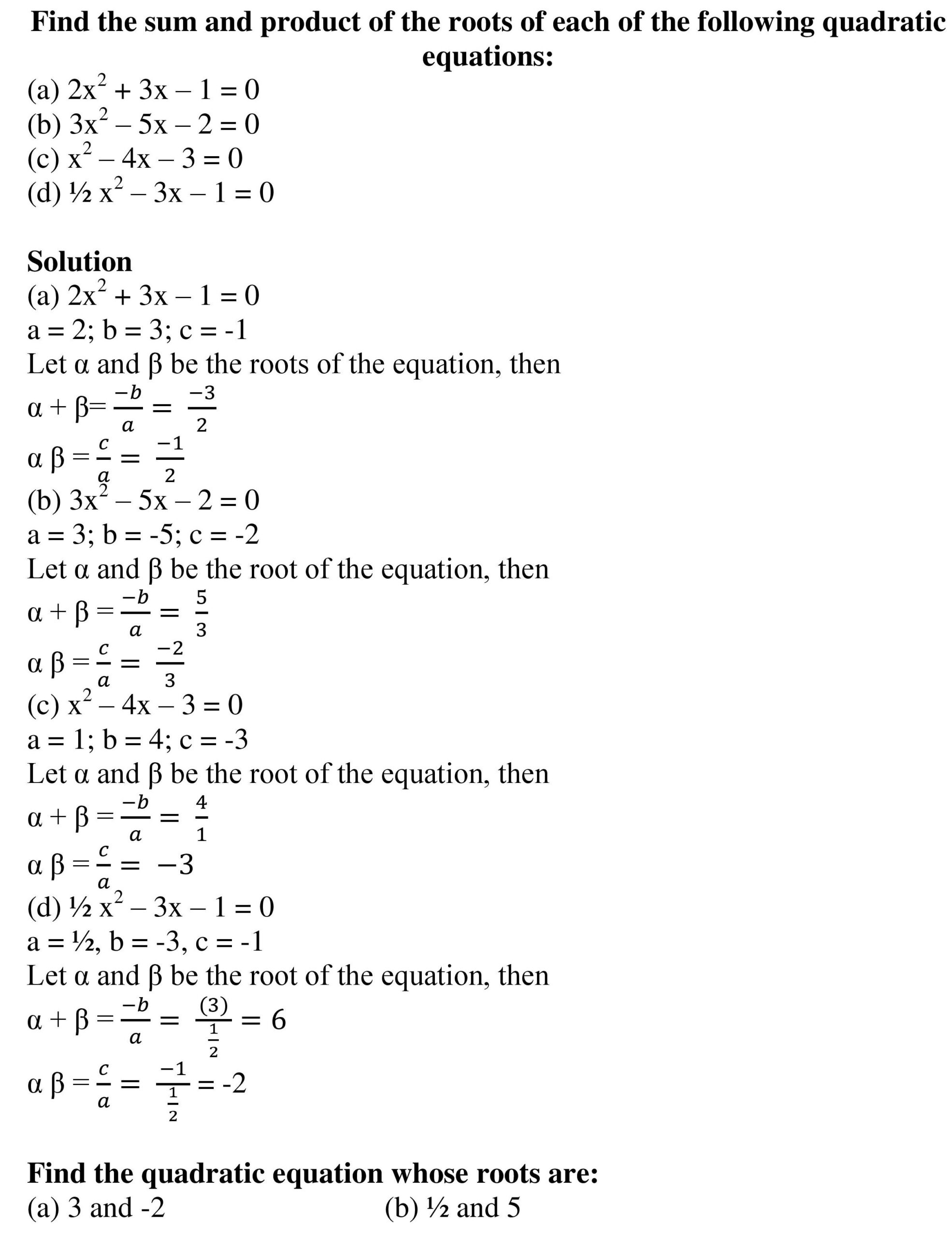
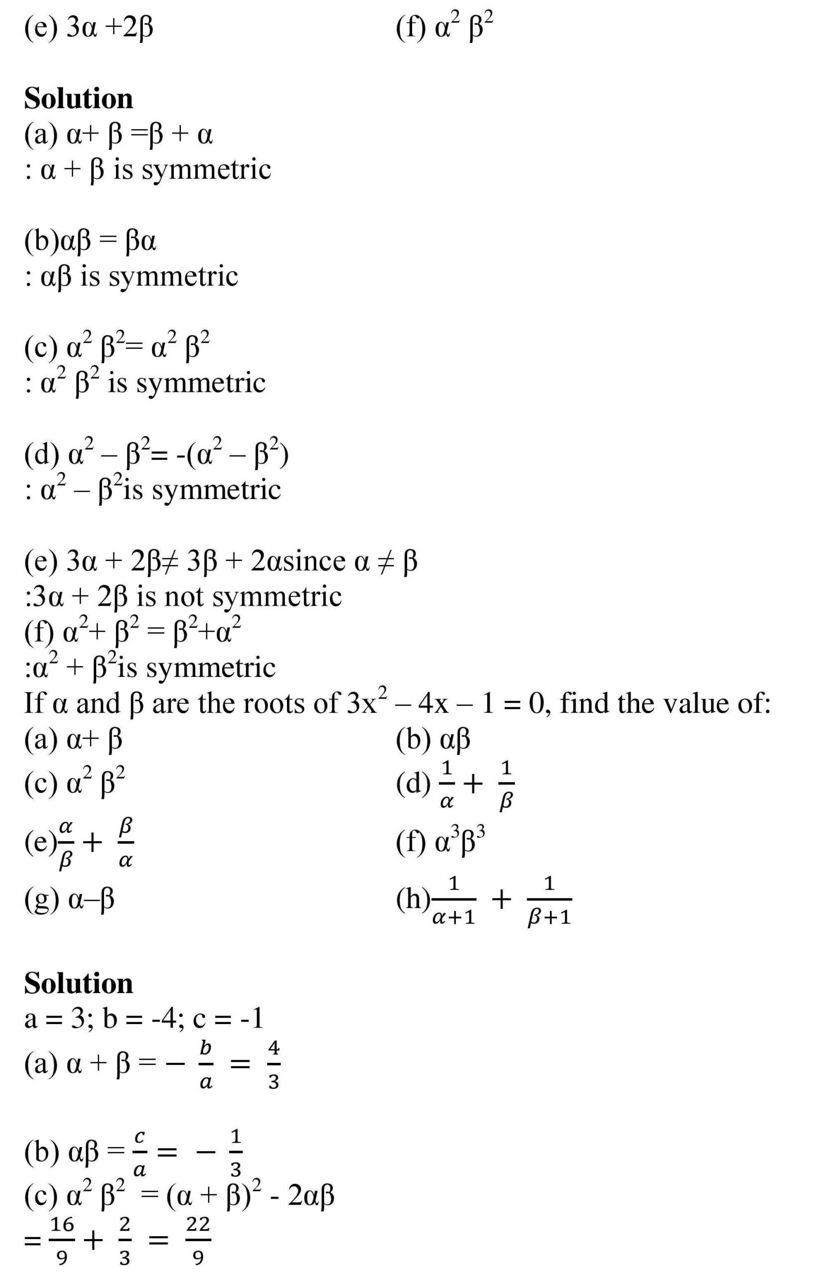
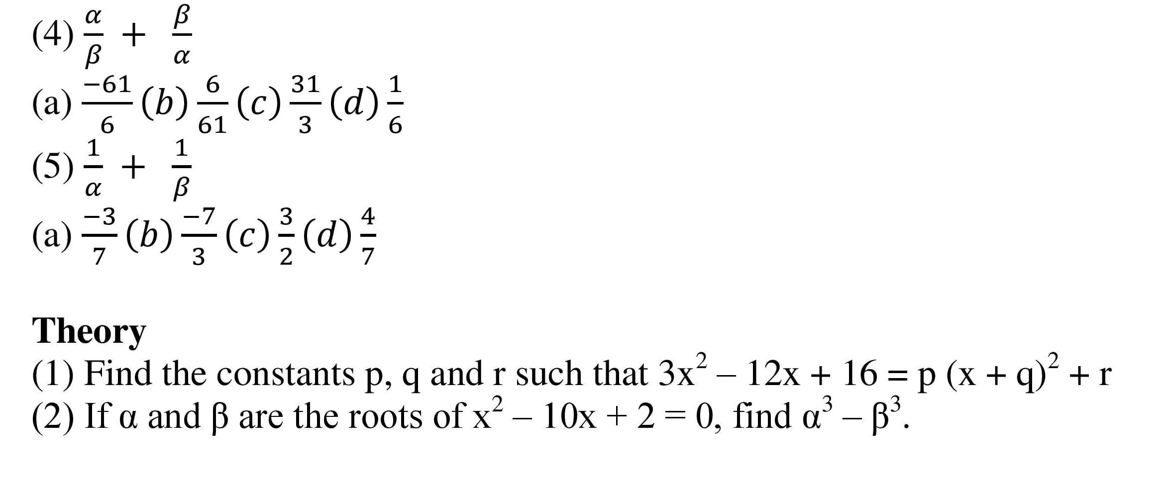
QUADRATIC EQUATIONMr. Fijabi W. YJuly 22, 2022Further Mathematics Lesson Note For All Classes, SS 2 Further Mathematics Notes (1st, 2nd & 3rd Term) FINDING QUADRATIC EQUATION GIVEN SUM AND PRODUCT OF ROOTS CONDITION FOR EQUAL ROOTS, REAL ROOTS AND NO ROOT See also FRICTION STATICS STATICS STATICS PROBABILITY DISTRIBUTION