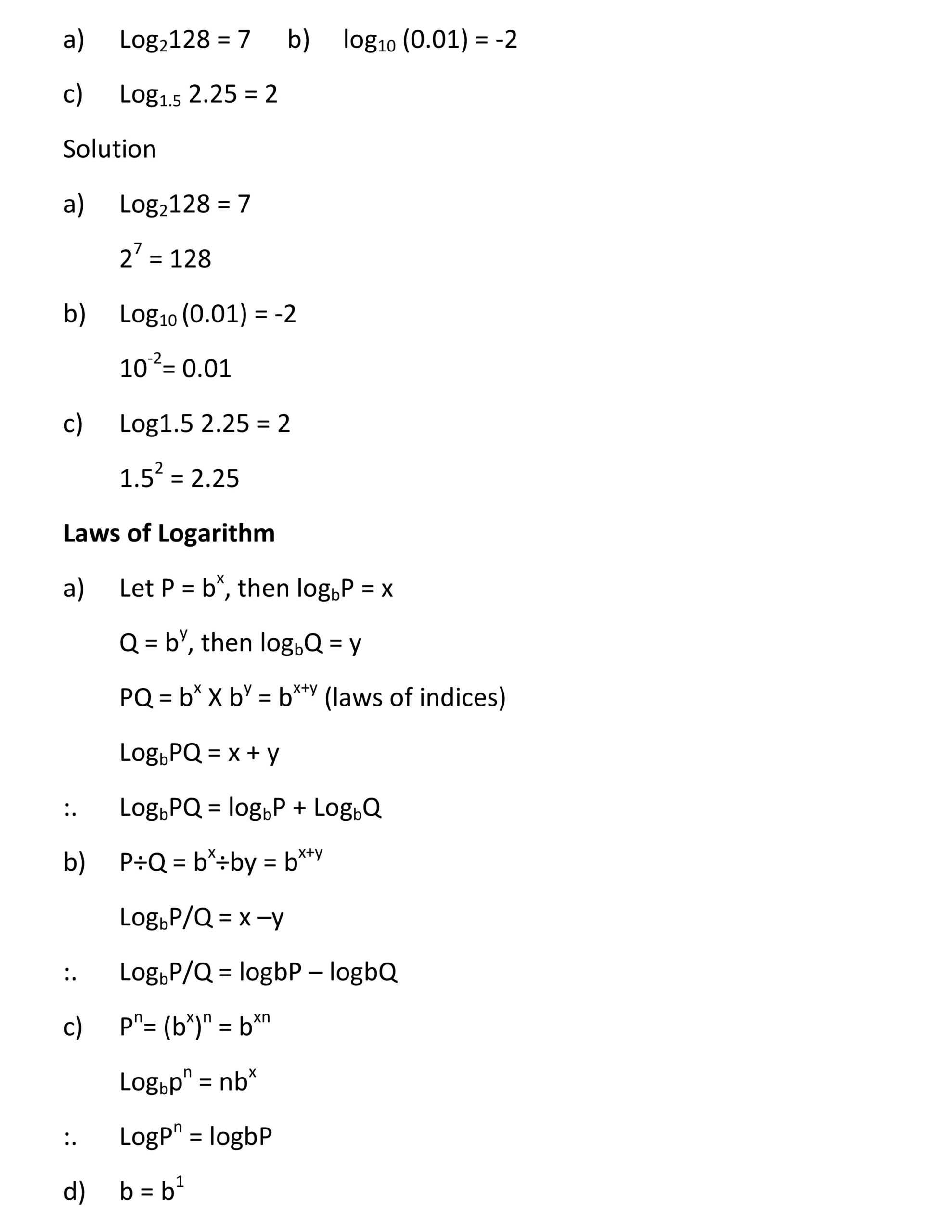
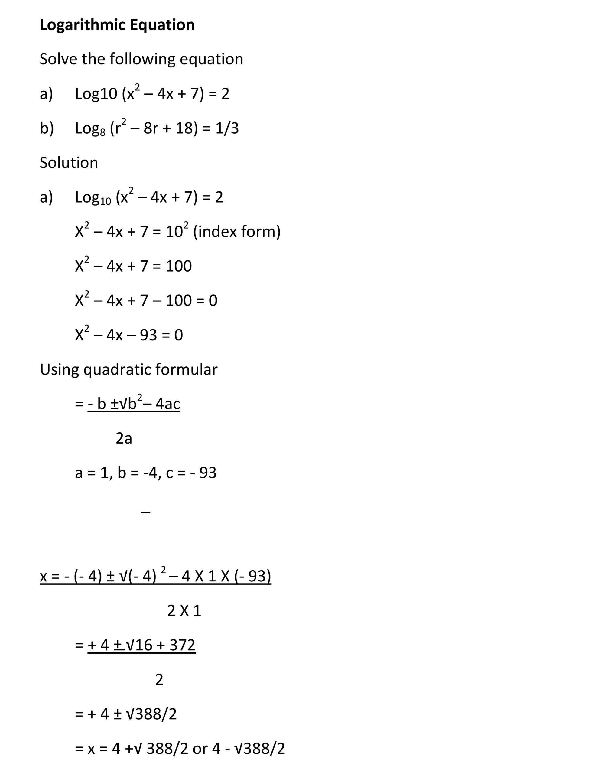
SOLVING PROBLEMS BASED ON LAWS OF LOGARITHMMr. Kelvin HJuly 19, 2022SS 3 Mathematics Notes (1st, 2nd & 3rd Term), Mathematics Notes For All Classes See also LOGARITHM OF NUMBERS LESS THAN ONE Using logarithm to solve problems with powers and root Using logarithm to evaluate problems INDICIAL/EXPONENTIAL EQUATION BASIC CONCEPT & APPLICATION OF LAWS OF INDICES