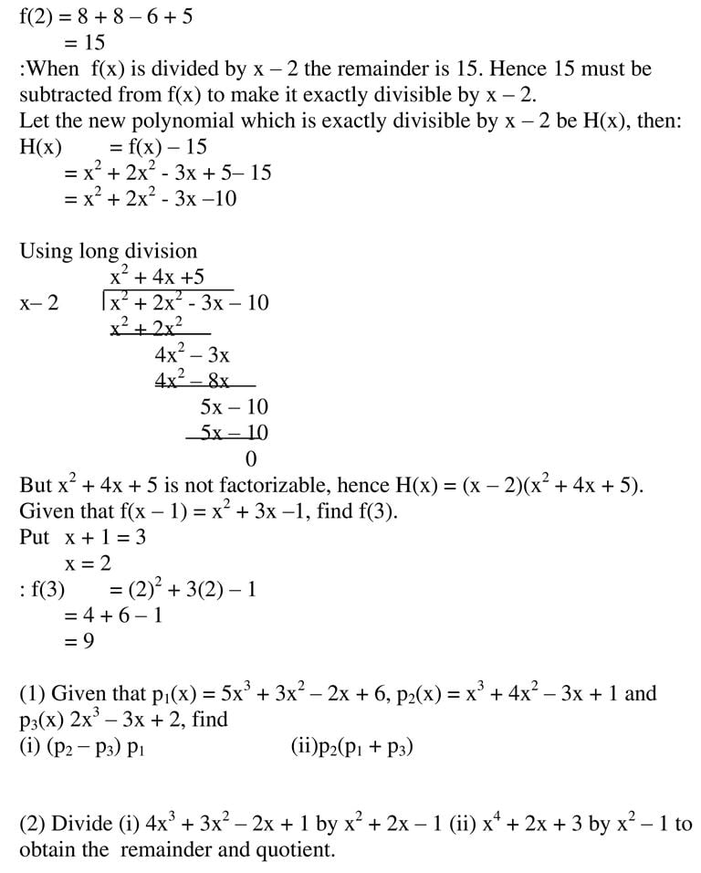
Factorization of polynomialMr. Fijabi W. YJuly 22, 2022SS 2 Further Mathematics Notes (1st, 2nd & 3rd Term), Further Mathematics Lesson Note For All Classes Factorization of polynomial See also Polynomials Tangents and Normal to Curves QUADRATIC EQUATION FRICTION STATICS