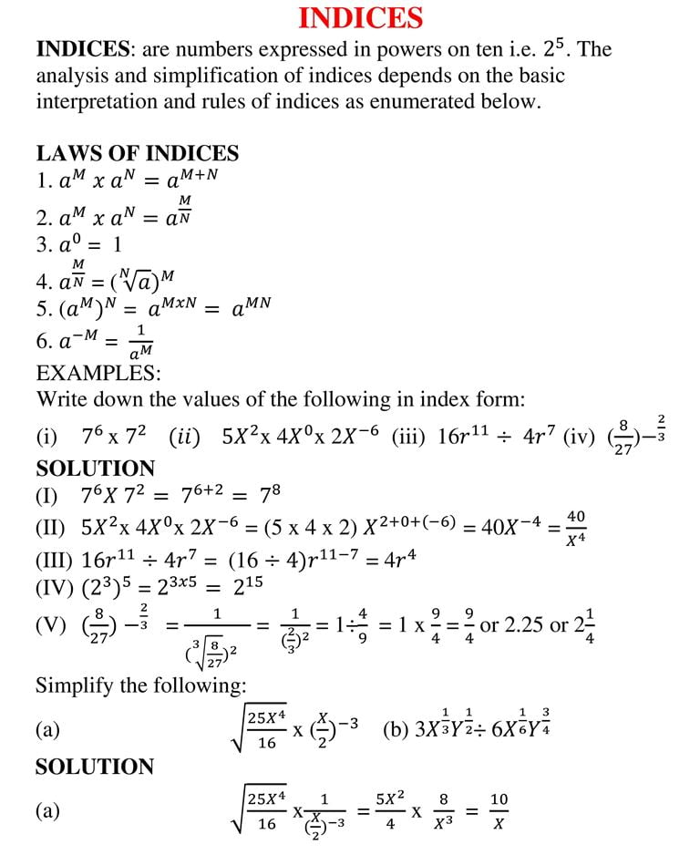
INDICESMr. Kelvin HJuly 23, 2022JSS 1 Mathematics Notes (1st, 2nd & 3rd Term), Mathematics Notes For All Classes INDICES See also STANDARD FORM AND APPROXIMATION MODULAR ARITHMETIC RULES OF BASE NUMBER NUMBER BASES BASIC OPERATIONS OF INTEGER